techXXX
Designing a 6.0L 45° V16 Engine—MCC 16
I present a 6.0L naturally-aspirated V16 engine intended for flagship vehicles. It prioritizes character, drivability, and reliability rather than peak power.

In the next three posts, I want to present a 6.0L naturally-aspirated V16 engine intended for flagship vehicles. It prioritizes character, drivability, and reliability rather than peak power. I envision this V16 for sports cars like the Maserati MC12 as well as luxury sedans like the Aston Martin Lagonda. We name this engine PG601, as in P for Petrol, G for 16, 60 for 6.0L, and 1 for mark 1.
Today, I will go over the key specs of and the philosophies behind PG601. In the next two posts, I will go over its bottom-end and top-end respectively.
I have also created three scripts for use in the Engine Simulator game, one for PG601 and two for 90-degree variants with otherwise identical specs. I will attach a short clip at the end, and you can also find the links to download these scripts.
Key Specs
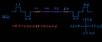
- Engine code: PG601
- Bank angle: 45deg
- Firing order: 1-16-6-11-2-15-5-12-8-9-3-14-7-10-4-13
- Bore x stroke: 82mm x 71mm (1.15:1, 5999cc displacement)
- Cylinder spacing: 90mm
- Rod length: 160mm (2.25:1 rod ratio) [updated after MCC17]
- Compression ratio: 13:1
- Redline: 8500rpm
- Timing: Symmetric timing gear + chain setup with intermediaries gears
- Oil system: Dry sump, 50% crank speed, 6 stages (1 pressure + 1 valley scavenge + 4 pan scavenge)
- Intake: Continuous Variable Intake Runners (CVIR)
- Target power: 600 to 700hp @ 8000rpm

Why naturally-aspirated V16?
To make the most power with internal combustion, forced induction is almost always the answer. However, a small V8 can already make up to 1000hp with turbos today, but there is no unique character in that. What we are after is unique, highly visceral experience marked by mechanical purity. We want a V16 because it is rare. We should not take away from the V16 experience by masking the induction sound with superchargers or the exhaust sound with turbochargers. Instead, we embrace the unique characters of a V16, and this means natural aspiration.

Why 45-degree bank angle?
For even firing, a four-stroke V16 needs a power stroke every 45 degrees. Indeed, 45, 90, 135, and 180 are all possible bank angles. However, only with 45- or 135-degree bank angles, we can use the same crankshaft of the even-firing inline-8 to get both even firing and alternating-bank firing, that is Left-Right-Left-Right. This crankshaft is akin to that of a cross-plane V8 with each crank pin replaced by that of a 180-degree inline-2. Our double-inline-8 design echoes the classic Cadillac and Auto Union V16s.
By contrast, modern V16 engines often use the 90-degree bank angle. This is essentially two V8 crankshafts joined at a 45-degree angle. With two cross-plane V8 cranks, it still has to fire the same bank consecutively twice every 720 degrees of crank rotation. I think this is the crankshaft in the Bugatti Tourbillon by Cosworth. Lastly, with two flat-plane V8 cranks, the V16 always fires two cylinders on the same bank consecutively.
The double-inline-8 design comes with a simpler, lighter crankshaft and has more character than the double-V8; hence, our PG601 uses the 45-degree bank angle.
Why no VVT?
Naturally-aspirated engines are not as dependent on VVT as turbocharged ones. Still, VVT could help expand the torque curve and improve drivability. The trade-off is a more generic engine character. With 6 liters of displacement and 16 cylinders, our V16 is naturally blessed with a wide torque band. It is more important to preserve its unique character than to get some marginal smoothness down low. Indeed, we have other options to expand the torque curve that actually enhance the engine’s character.

Why CVIR?
Continuously-Variable-Intake-Runner (CVIR) is the key for our V16 to have a wide torque band while being unmistakably V16 throughout the rev range. Thanks to our 45-degree bank angle, this is reasonably simple, as the intake runners from both banks quickly merge into a single row as they enter the plenum. Internally, a single mechanism controls the telescoping trumpets, extending the runner length for low-end torque and shortening it for top-end power.

Why only 8500rpm?
Had it been a race engine, our double-inline-8 design can make 50% more power revving into five digits. However, any V16 would have crank and cam rigidity to consider, and our PG601 already can touch 700hp with a modest redline. Together with its simple mechanical design, our V16 can be exceptionally reliable and durable this way. The added benefit is that we can save some money by not using exotic parts.

Why symmetric timing gears with chains?
PG601 has four intermediary timing gears, two driven by the crankshaft and two that drive the four camshaft sprockets. The two timing chains connect these intermediary gears. The same crankshaft gear also drives the dry sump oil pump. This setup has three advantages: One, it keeps the crankshaft as short as possible, and crankshaft length is a weak point of all V16 engines. Two, it is exceptionally robust. Three, the chains in the middle stop crankshaft harmonics from interfering with the cams. Indeed, the Bugatti-Cosworth V16 also has two intermediary timing gears, but its chains route over the cam sprockets directly.

Why dry sump oil system?
All V16s must contend with exceptionally long crankcases. Hence, most use dry sump oil system to reduce windage and maintain oil pressure. I think a 5-stage scavenge setup is ideal, with 4 stages along the oil pan and one stage coming off the rear of the valley. Needless to say, oil cooler is a must.
Engine Simulator scripts
As mentioned in the beginning, I have written three scripts for all three even-firing V16 variants for the Engine Simulator game. You can find them in this repository.

Gallery: PG601 V16
XXX










